本文针对GB/T12706.1-2008《额定电压1kV(Um=1.2kV)到35 kV(Um=40.5 kV)挤包绝缘电力电缆及附件 第1部分:额定电压1kV(Um=1.2kV)和3 kV(Um=3.6kV)电缆》与GB/T12706.1《额定电压1kV(Um=1.2kV)到35kV(Um=40.5kV)挤包绝缘电力电缆及附件 第1部分:额定电压1kV(Um=1.2 kV)和3 kV(Um=3.6 kV)电缆》(报批稿)进行对比,新标准以正式版为准。
1. 修改了内衬层材料的要求 1) 2008版规定: 7.1.2材料 用于内衬层和填充物的材料应适合电缆的运行温度并和电缆绝缘材料相容。 2) 新版(报批稿)规定 7.2.2材料 用于内衬层和填充物的材料应适合电缆的运行温度并与电缆绝缘材料相兼容。除纵向阻水型电缆外,内衬层和填充物应采用非吸湿材料。 表5 无卤混合料的试验方法和要求 序号 | 试 验 项 目 | 单位 | 要求 | 1 2 3 3.1 3.2 | 酸气含量试验(GB/T 17650.1) 溴和氯含量(以HCl表示),最大值 氟含量试验(GB/T 7113.2) 氟含量,最大值 pH值和电导率试验(GB/T 17650.2) pH值,最小值 电导率,最大值 | % % μS/mm | 0.5 0.1 4.3 10 |
2. 修改了挤包内衬层的规定 1) 2008版规定 
2) 新版(报批稿)规定
缆芯假设直径 mm | 挤包内衬层标称厚度 mm | — >25.0 >35.0 >45.0 >60.0 >80.0 | ≤25.0 ≤35.0 ≤45.0 ≤60.0 ≤80.0 — | 1.0 1.2 1.4 1.6 1.8 2.0 |
|
|
|
3. 修改了绕包内衬层的规定 1) 2008版规定
缆芯假设直径为40mm及以下时,绕包内衬层的近似厚度取0.4mm;如大于40mm时,则取0.6mm。
2) 新版(报批稿)规定
缆芯假设直径为40.0 mm及以下时,绕包内衬层的标称厚度取0.4 mm;如大于40.0 mm时,则取0.6 mm。绕包内衬层采用单根或多根带材重叠绕包而成。当多根带材绕包时,每一根均应重叠绕包。(新增)
4. 增加了绕包内衬层和(或)包带垫层厚度测量 1) 2008版规定
16.12绕包内衬层和(或)包带垫层总厚度的测量
从样品上完好取下绕包带材,展平后测量中央部位的厚度。多根带材重叠绕包时,应分别在每根带材测试。采用GB/T 2951.11—2008规定的指针式测厚仪在(0.07±0.01)MPa压力下保持20 s后立刻测试。测厚仪的上下测量面均为平面,其中圆形上压脚直径(5.0±0.1)mm,下测量面直径不小于5.0 mm。取5次测试的平均值作为测量结果。对于单根带材重叠绕包,总厚度测量值为一根带材厚度的测量值。多根带材重叠绕包时,总厚度测量值为各根带材厚度平均测量值的总和。绕包内衬层厚度测量值不应小于标称值的80%再减0.2 mm。当采用双金属带铠装时,绕包内衬层和附加包带垫层的总厚度应符合12.7的规定。
12.7双金属带铠装 当采用金属带铠装和符合7.2规定的绕包内衬层时,内衬层应采用包带垫层加强。如果铠装金属带厚度为0.2 mm,内衬层和附加包带垫层的总厚度应按7.2的标称值再加0.5 mm;如果铠装金属带厚度大于0.2 mm,内衬层和附加包带垫层的总厚度应按7.2的标称值再加0.8 mm。 绕包内衬层和附加包带垫层总厚度的测量值不应小于规定值的80%再减0.2 mm。 金属带铠装应螺旋绕包两层,使外层金属带的中间部位大致在内层金属带间隙上方,每层金属带间隙率不应大于50%。
5. 修改了铜带屏蔽搭盖率的规定 1) 2008版规定
9.2.3铜带屏蔽应由一层重叠绕包的软铜带组成,也可采用双层铜带间隙绕包。铜带间的搭盖率为铜带宽度的15%(标称值),最小搭盖率应不小于5%。
9.2.3铜带屏蔽应由一根重叠绕包的软铜带组成。重叠绕包铜带间标称搭盖率为15%,最小搭盖率不应小于5%。供需双方协商一致时,可采用其它结构。 屏蔽原材料软铜带应选择符合GB/T 11091规定的铜带。
6. 修改了铅套标称厚度的计算公式 1) 2008版规定 
2) 新版(报批稿)规定
……(1)假设直径计算应按附录A进行,计算结果应修约到一位小数(见附录B)。当标称厚度计算值小于1.2 mm时,铅套标称厚度取值为1.2 mm,计算值应按附录B修约到一位小数。
7. 修改了铠装材料的规定 1) 2008版规定 
2) 新版(报批稿)规定
圆金属丝或扁金属线应为镀锌钢丝、不锈钢丝(非磁性)、铜丝或镀锡铜丝、铝丝或铝合金丝。金属带应为镀锌钢带、不锈钢带(非磁性)、铝带或铝合金带。在要求铠装钢丝满足最小导电性的情况下,铠装层中允许包含足够的铜丝或镀锡铜丝,以确保达到要求。选择铠装材料时,尤其是铠装作为屏蔽层使用时,应特别考虑存在腐蚀的可能性,这不仅为了机械安全,也为了电气安全。除特殊结构外,用于交流回路的单芯电缆铠装应采用非磁性材料。注:用于交流回路的单芯电缆磁性铠装即使采用特殊结构,电缆载流量仍将大为降低。
8. 增加了粗圆金属丝的标称直径规定以及铠装下隔离套或内衬层标称厚度规定 1) 2008版规定
2) 新版(报批稿)规定
圆金属丝(细):直径0.8 mm、1.25 mm、1.6 mm、2.0 mm、2.5 mm、3.15 mm;钢带:厚度0.2 mm、0.5 mm、0.8 mm;
表10 铠装圆金属丝标称直径 铠装前假设直径 mm | 铠装金属丝标称直径 mm | — >10.0 >15.0 >25.0 >35.0 >60.0 | ≤10.0 ≤15.0 ≤25.0 ≤35.0 ≤60.0 — | 0.8 1.25 1.6 2.0 2.5 3.15,4.0 |
|
|
|
12.6 圆金属丝或扁金属线铠装
金属丝铠装应紧密,即使相邻金属丝间的间隙为最小。必要时,可在扁金属线铠装和圆金属丝铠装外疏绕一条标称厚度最小为0.3mm的镀锌钢带,钢带厚度的偏差应符合16.7.3规定。采用粗圆金属丝铠装时,当铠装下隔离套或内衬层的标称厚度计算值小于2.0mm时,隔离套或内衬层的标称厚度应取值为2.0mm。(新增)
9. 修改了非金属护套的测量要求 1) 2008版规定 
2) 新版(报批稿)规定
厚度最小测量值不应小于规定标称值的80%-0.2 mm,见公式(5): ……(5)ts min——非金属护套厚度最小测量值,单位为毫米(mm);tsn ——非金属护套标称厚度,单位为毫米(mm)。
10. 修改了外护套厚度的规定 1) 2008版规定 
2)新版(报批稿)规定
若无其它规定,挤包外护套标称厚度值应按公式(3)计算:
…… (3)
Dos ——挤包护套前电缆的假设直径,单位为毫米(mm)。按公式(3)计算出的数值应修约到一位小数(见附录B)。当单芯电缆外护套标称厚度的计算值小于1.4 mm时,外护套标称厚度取值为1.4 mm。当多芯电缆外护套标称厚度的计算值小于1.8 mm时,外护套标称厚度取值为1.8 mm。
11. 修改了非金属护套的测量要求 1) 2008版规定 

2) 新版(报批稿)规定
18.3非金属护套厚度测量(包括外护套、挤包隔离套和挤包内衬层)按GB/T 2951.11-2008中8.2规定进行。厚度最小测量值不应小于规定标称值的80%-0.2 mm,见公式(5): …… (5)ts min——非金属护套厚度最小测量值,单位为毫米(mm);tsn ——非金属护套标称厚度,单位为毫米(mm)。
12. 修改了高温压力试验要求 1) 2008版规定 


2) 新版(报批稿)规定
应按GB/T 2951.31-2008第8章规定进行高温压力试验,试验条件和试验方法见表20、表21、表22和表23。
   
13. 修改了单根阻燃试验的要求 1) 2008版规定 
2) 新版(报批稿)规定
该试验适用于ST1、ST2或SE1护套的电缆,且仅有特别要求时才进行试验。对于其他材料护套的电缆,当制造商申明电缆有单根阻燃特性时应进行试验。试验要求和方法应符合GB/T 18380.11、GB/T 18380.12、GB/T 18380.13规定。
14. 修改了成束阻燃试验的要求 1) 2008版规定
试验要求和方法应符合GB/T 18380.35-2008规定。
2) 新版(报批稿)规定
对于其他材料护套的电缆,当制造商申明电缆有成束阻燃特性时应进行试验。应根据申明的类别进行成束阻燃试验,阻燃A类、阻燃B类、阻燃C类、阻燃D类的试验要求和方法应分别符合GB/T 18380.33、GB/T 18380.34、GB/T 18380.35、GB/T 18380.36的规定。
15. 修改了烟密度试验要求 1) 2008版规定 
2) 新版(报批稿)规定
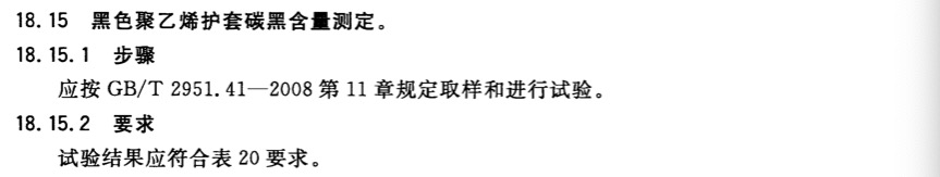
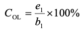
16. 修改了黑色聚乙烯护套碳黑含量测试的适用对象 1) 2008版规定 
2) 新版(报批稿)规定
非阻燃型护套碳黑含量应按GB/T 2951.41-2008第11章规定取样和进行试验。阻燃型外护套的碳黑含量试验要求和试验方法由供需双方商定。
17. 增加了铝合金导体的直流电阻要求 1) 2008版规定
2) 新版(报批稿)规定
应对例行试验中的每一根电缆长度所有导体进行测量,如果有同心导体也包括在内。成品电缆或从成品电缆上取下的试样,应在保持适当温度的试验室内至少存放12 h。若怀疑导体温度是否与室温一致,电缆应在试验室内存放24 h后测量。也可选取另一种方法,即将导体试样浸在温度可控制的液体槽内,至少浸入1 h后测量电阻。电阻测量值应按GB/T 3956规定的公式和系数校正到20 ℃下1 km长度的数值。每一根导体20 ℃时直流电阻不应超过GB/T 3956规定的相应最大值。标称截面积适用时,同心导体的电阻也应符合GB/T 3956规定。铝合金导体的导体直流电阻要求与相同标称截面积的铝导体一致。(新增)
18. 删除了热延伸试验负荷时间 1) 2008版规定
删除GB/T 12706.1-2008中表17和表22中热延伸试验负荷时间。
 
2) 新版(报批稿)规定  
19. 增加了绕包带搭盖率和间隙率的测量 1) 2008版规定
2) 新版(报批稿)规定
在样品上选择5个连续节距分别测量5次搭盖率,取其中最小值作为测试结果。9.2.3铜带屏蔽应由一根重叠绕包的软铜带组成。重叠绕包铜带间标称搭盖率为15%,最小搭盖率不应小于5%。供需双方协商一致时,可采用其它结构。在每层样品上选择5个连续节距分别测量5次间隙率,取其平均值作为测试结果。多层间隙绕包时,应分别在每层测试。
当采用金属带铠装和符合7.2规定的绕包内衬层时,内衬层应采用包带垫层加强。如果铠装金属带厚度为0.2 mm,内衬层和附加包带垫层的总厚度应按7.2的标称值再加0.5 mm;如果铠装金属带厚度大于0.2 mm,内衬层和附加包带垫层的总厚度应按7.2的标称值再加0.8 mm。 绕包内衬层和附加包带垫层总厚度的测量值不应小于规定值的80%再减0.2 mm。 金属带铠装应螺旋绕包两层,使外层金属带的中间部位大致在内层金属带间隙上方,每层金属带间隙率不应大于50%。
20. 增加了绕包搭盖率和间隙率的测量和计算 1) 2008版规定
2) 新版(报批稿)规定 附 录 A (规范性附录) 绕包搭盖率和间隙率的测量和计算 A.1 测量
试样应是一段平直的成品电缆,小心地剥开试样,应在绕包层不松散时测试。分别测量绕包重叠宽度、绕包间隙宽度和绕包带材宽度。
A.2 计算 A.2.1 搭盖率
…… (C.1)
b1 ——绕包带材宽度测量值,单位为毫米(mm)。
A.2.2 间隙率
…… (C.2)
b2 ——金属带材宽度测量值,单位为毫米(mm)。
21. 增加了有一根小截面的三芯电缆的缆芯假设直径计算公式 1) 2008版规定
2) 新版(报批稿)规定
…… (A.2) …… (A.3) …… (A.4) …… (A.5)
d) 有一根小截面的五芯电缆
…… (A.6)
e) 有两根小截面的五芯电缆
…… (A.7)Dc1 ——包括金属层(若有)的每相绝缘线芯的假设直径,单位为毫米(mm);Dc2、Dc3 ——包括绝缘或护层或金属层(若有)的小截面绝缘线芯的假设直径,单位为毫米(mm)。
22. 增加了规定值的修约规则 1) 2008版规定  
2) 新版(报批稿)规定 附 录 B (规范性附录) 数值修约 B.1 假设计算法的数值修约
在按附录A计算假设直径和确定单元尺寸而对数值进行修约时,采用下述规则。当任何阶段的计算值小数点后多于一位数时,数值应修约到一位小数,即精确到0.1 mm。每一阶段的假设直径数值应修约到0.1 mm,当用来确定包覆层厚度和直径时,在用到相应的公式或表格中去之前应先进行修约,按附录A要求从修约后的假设直径计算出的厚度应依次修约到0.1 mm。a) 修约前数值的第二位小数为0、1、2、3或4时,则小数点后第一位小数保持不变(舍弃);b) 修约前数值的第二位小数为9、8、7、6或5时,则小数点后第一位小数应增加1(进一)。
B.2 用作其它目的的数值修约 除B.1考虑的用途外,有可能有些数值需要修约到多于一位小数,例如计算几次测量的平均值,或标称值加上一个百分率偏差以后的最小值。在这些情况下,应按有关条文修约到小数点后面的规定位数。
a) 如果修约前应保留的最后数值后一位数为0、1、2、3或4时,则最后数值应保持不变(舍弃);b) 如果修约前应保留的最后数值后一位数为9、8、7、6或5时,则最后数值加1(进一)。示例3:25.0478 ≈ 25.048修约到三位小数示例4:25.0478 ≈ 25.0修约到一位小数
B.3 测量值或其计算值与规定值的表示和判定(新增) 在判定测量值或其计算值是否符合要求时,应将测试所得的测量值或其计算值与规定值作比较,比较方法应采用修约值比较法,比较规则应符合GB/T 8170的规定。
测量值或其计算值的修约数位通常应与规定值的数位一致。表B.1列出了一些规定值、测量值或其计算值的修约数位。
表B.1 规定值、测量值或其计算值的修约数位 项 目 | 单位 | 规定值的修约数位 | 测量值或其计算值的修约数位 | 绝缘厚度平均值 | mm | 修约到十分位 | 修约到十分位 | 绝缘最小厚度 非金属护套最小厚度 挤包内衬层最小厚度 绕包内衬层厚度 绕包内衬层和包带垫层总厚度 铅套最小厚度 铠装金属丝最小直径 铠装金属线最小厚度 铠装金属带最小厚度 屏蔽铜带最小厚度 | mm | 修约到百分位 | 修约到百分位 |
23. 增加了成品电缆交货长度和标志要求 1) 2008版规定
2) 新版(报批稿)规定
根据双方协议长度交货,长度计量误差不应超过±0.5%。成品电缆的护套表面应有制造厂名称、产品型号规格及额定电压的连续标志,标志应字迹清楚、容易辨认、耐擦。电缆绝缘线芯标志应符合GB/T 6995.5规定。
24. 增加了无卤阻燃护套电缆安装时环境温度推荐 1) 2008版规定
2) 新版(报批稿)规定
具有聚氯乙烯绝缘或聚氯乙烯护套或无卤阻燃护套的电缆,安装时环境温度不宜低于0 ℃。
|